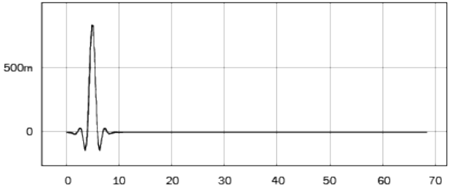
Our Slow filter has a linear phase and is a compromise between some very high frequency roll off and the minimized level of pre/post impulse ringing. Stop band attenuation is less than other filter types, but there's no phase shift and the impulse response is the cleanest.